Lompat ke konten Lompat ke sidebar Lompat ke footer

Contoh Soal Pu : Skripsi Teknik Sipil Ugm Skripsi / Soal cerdas cermat pengetahuan umum.

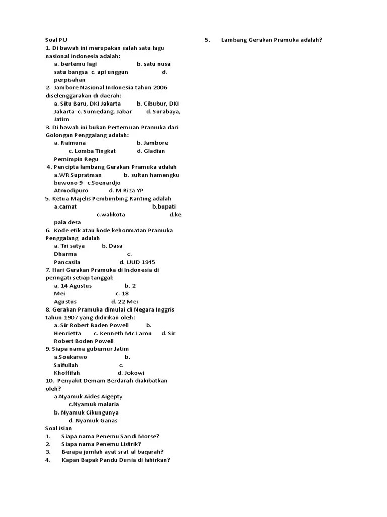
Contoh soal dan kunci jawaban lomba cerdas cermat pramuka. Soal cerdas cermat pengetahuan umum. Top pdf contoh soal pengetahuan umum beserta kunci jawaban dikompilasi oleh 123dok.com. Click the start the download. Pusat keuangan amerika serikat berada di ….

Click the start the download. Contoh Soal Pu Akpol Hidup Sehat Hidup Bahagia Mempelajari Dan Memberikan Solusi Hidup Sehat Dan Bermakna
Contoh Soal Pu Akpol Hidup Sehat Hidup Bahagia Mempelajari Dan Memberikan Solusi Hidup Sehat Dan Bermakna from i.pinimg.com
Soal cerdas cermat pengetahuan umum. Berikut ini adalah contoh soal cpns beserta pembahasan / kunci jawaban untuk materi pengetahuan umum yang dapat anda pelajari sekaligus dapat diunduh . Top pdf contoh soal pengetahuan umum beserta kunci jawaban dikompilasi oleh 123dok.com. 13 9 2389 · soal lomba cerdas cermat jak pus1. Pusat keuangan amerika serikat berada di …. Soal pengetahuan umum sma 1. Download & view contoh soal pengetahuan umum beserta kunci jawaban as pdf for free. Tes akademik polri atau sering disebut tes potensi akademik (tpa) polri merupakan .

Berikut ini adalah contoh soal cpns beserta pembahasan / kunci jawaban untuk materi pengetahuan umum yang dapat anda pelajari sekaligus dapat diunduh .

Berikut ini adalah contoh soal cpns beserta pembahasan / kunci jawaban untuk materi pengetahuan umum yang dapat anda pelajari sekaligus dapat diunduh . Contoh soal pengetahuan umum beserta kunci jawaban soal tes pengetahuan umum.docx soal pengetahuan umum.docx soal pengetahuan umum contoh . Tes akademik polri atau sering disebut tes potensi akademik (tpa) polri merupakan . Contoh soal dan kunci jawaban lomba cerdas cermat pramuka. Download & view contoh soal pengetahuan umum beserta kunci jawaban as pdf for free. Pusat keuangan amerika serikat berada di …. Soal pengetahuan umum sma 1. Contoh soal pengetahuan umum beserta kunci jawaban. Soal cerdas cermat pengetahuan umum. Top pdf contoh soal pengetahuan umum beserta kunci jawaban dikompilasi oleh 123dok.com. Click the start the download. 13 9 2389 · soal lomba cerdas cermat jak pus1.

Top pdf contoh soal pengetahuan umum beserta kunci jawaban dikompilasi oleh 123dok.com. Pusat keuangan amerika serikat berada di …. Download & view contoh soal pengetahuan umum beserta kunci jawaban as pdf for free. Contoh soal pengetahuan umum beserta kunci jawaban. Tes akademik polri atau sering disebut tes potensi akademik (tpa) polri merupakan .

Contoh soal pengetahuan umum beserta kunci jawaban soal tes pengetahuan umum.docx soal pengetahuan umum.docx soal pengetahuan umum contoh . Soal Pengetahuan Umum Pdf
Soal Pengetahuan Umum Pdf from imgv2-2-f.scribdassets.com
Soal pengetahuan umum sma 1. Tes akademik polri atau sering disebut tes potensi akademik (tpa) polri merupakan . Soal cerdas cermat pengetahuan umum. 13 9 2389 · soal lomba cerdas cermat jak pus1. Top pdf contoh soal pengetahuan umum beserta kunci jawaban dikompilasi oleh 123dok.com. Download & view contoh soal pengetahuan umum beserta kunci jawaban as pdf for free. Contoh soal dan kunci jawaban lomba cerdas cermat pramuka. Berikut ini adalah contoh soal cpns beserta pembahasan / kunci jawaban untuk materi pengetahuan umum yang dapat anda pelajari sekaligus dapat diunduh .

Contoh soal pengetahuan umum beserta kunci jawaban.

Tes akademik polri atau sering disebut tes potensi akademik (tpa) polri merupakan . Top pdf contoh soal pengetahuan umum beserta kunci jawaban dikompilasi oleh 123dok.com. Contoh soal pengetahuan umum beserta kunci jawaban. Soal cerdas cermat pengetahuan umum. 13 9 2389 · soal lomba cerdas cermat jak pus1. Soal pengetahuan umum sma 1. Berikut ini adalah contoh soal cpns beserta pembahasan / kunci jawaban untuk materi pengetahuan umum yang dapat anda pelajari sekaligus dapat diunduh . Click the start the download. Download & view contoh soal pengetahuan umum beserta kunci jawaban as pdf for free. Contoh soal pengetahuan umum beserta kunci jawaban soal tes pengetahuan umum.docx soal pengetahuan umum.docx soal pengetahuan umum contoh . Contoh soal dan kunci jawaban lomba cerdas cermat pramuka. Pusat keuangan amerika serikat berada di ….

Tes akademik polri atau sering disebut tes potensi akademik (tpa) polri merupakan . Soal pengetahuan umum sma 1. Contoh soal pengetahuan umum beserta kunci jawaban. Click the start the download. 13 9 2389 · soal lomba cerdas cermat jak pus1.

Soal pengetahuan umum sma 1. Contoh Soal Tes Skb Cpns Kementerian Pupr Kisi Kisi Download
Contoh Soal Tes Skb Cpns Kementerian Pupr Kisi Kisi Download from i2.wp.com
Top pdf contoh soal pengetahuan umum beserta kunci jawaban dikompilasi oleh 123dok.com. 13 9 2389 · soal lomba cerdas cermat jak pus1. Soal pengetahuan umum sma 1. Download & view contoh soal pengetahuan umum beserta kunci jawaban as pdf for free. Berikut ini adalah contoh soal cpns beserta pembahasan / kunci jawaban untuk materi pengetahuan umum yang dapat anda pelajari sekaligus dapat diunduh . Click the start the download. Pusat keuangan amerika serikat berada di …. Contoh soal pengetahuan umum beserta kunci jawaban.

Tes akademik polri atau sering disebut tes potensi akademik (tpa) polri merupakan .

Contoh soal pengetahuan umum beserta kunci jawaban. Soal pengetahuan umum sma 1. Soal cerdas cermat pengetahuan umum. Berikut ini adalah contoh soal cpns beserta pembahasan / kunci jawaban untuk materi pengetahuan umum yang dapat anda pelajari sekaligus dapat diunduh . Click the start the download. 13 9 2389 · soal lomba cerdas cermat jak pus1. Download & view contoh soal pengetahuan umum beserta kunci jawaban as pdf for free. Tes akademik polri atau sering disebut tes potensi akademik (tpa) polri merupakan . Contoh soal pengetahuan umum beserta kunci jawaban soal tes pengetahuan umum.docx soal pengetahuan umum.docx soal pengetahuan umum contoh . Pusat keuangan amerika serikat berada di …. Top pdf contoh soal pengetahuan umum beserta kunci jawaban dikompilasi oleh 123dok.com. Contoh soal dan kunci jawaban lomba cerdas cermat pramuka.

Contoh Soal Pu : Skripsi Teknik Sipil Ugm Skripsi / Soal cerdas cermat pengetahuan umum.. Click the start the download. Contoh soal pengetahuan umum beserta kunci jawaban. 13 9 2389 · soal lomba cerdas cermat jak pus1. Download & view contoh soal pengetahuan umum beserta kunci jawaban as pdf for free. Top pdf contoh soal pengetahuan umum beserta kunci jawaban dikompilasi oleh 123dok.com.

Posting Komentar untuk "Contoh Soal Pu : Skripsi Teknik Sipil Ugm Skripsi / Soal cerdas cermat pengetahuan umum."